Home | Schematics | Products | Tutorials | Datasheets | Robotics | Download | Link Exchange
� Direct Current � Alternating Current � Digital Electronics � PC Architecture � Electronics Dictionary � Resources
1. Basic identities
2. Arithmetic properties
3. Properties of exponents
4. Radicals
5. Important constants
6. Logarithms
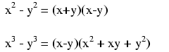
7. Factoring equivalencies
8. The quadratic formula
9. Sequences
10. Factorials
11. Solving simultaneous equations
Electronics Symentics
Back Home Chapter Index
Home Products Tutorials Schematics Robotics Resources Radio Stuff Career Download Link Exchange HTML Sitemap XML Sitemap Terms & Conditions Privacy Policy and Disclaimer
Terms & Conditions Privacy Policy and Disclaimer